Devlet Personel Başkanlığı tarafından 2016/1 KPSS tercih kadroları açıklandı. Buna göre, 137 kamu kurum ve kuruluşuna toplam 10 bin 144 kişi alınacak. 2016 haziran ataması harita teknikerlerini sevindirirken harita mühendislerini üzdü.
Açıklanan 48 kadro harita mühendislerini adeta isyan ettirdi. Son günlerde Tapu Kadastro Genel Müdürlüğünün kadro sayısını netleştirmemesine bir de Devlet Su İşleri Genel Müdürlüğünün beklenen kadroyu vermemesi eklendi ve bu tablo ortaya çıktı.

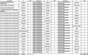
Harita mühendislerinin 2016/1 kadro dağılımı.
2014 KPSS puanıyla gerçekleştirilen merkezi atama dönemlerinde; 2014/2 Kasım atama döneminde 23, 2015/1 Haziran atama döneminde 100, 2015/2 Kasım atama döneminde 18 olmak üzere toplam 141 kişi atanmıştı, son atama dönemi ile bu rakam 189’a ulaştı. Bu sayı da 2011 yılından beri sayının daha da düştüğünü gösteriyor. İşte son 6 yıldaki haziran ayındaki harita mühendisi atama rakamları;
2011/1 : 220
2012/1 : 149
2013/1 : 139
2014/1 : 76
2015/1 : 100
2016/1 : 48
Görüldüğü gibi son 5 yılın en kötü rakamı olan 76 (2014/1)’ya bile son verilen sayı yaklaşamadı. Bu 48 atamanın ise çoğunluğu doğu ve güneydoğu şehirlerinde yer alıyor. Tüm atamalara buradan göz atabilirsiniz.
KPSS-2016/1 atama döneminde harita teknikerlerinden ise 153 alım gerçekleştirilecek. Özellikle Tapu Kadastro Genel Müdürlüğünün Tekirdağ (17), Antalya (12), Bursa (8), Gaziantep (6), İstanbul (6) alımları dikkat çekiyor. Tüm atamalara buradan göz atabilirsiniz.

Harita teknikerlerinin 2016/1 kadro dağılımı.
KPSS-2016/1 Tercih Kılavuzu yayınlandığında Haberita‘da..





