Devlet Personel Başkanlığı tarafından 2016/1 KPSS tercih kadroları açıklanmıştı ve 2016 haziran ataması harita teknikerlerini sevindirirken harita mühendislerini üzmüştü.
2016/1 yerleştirme sonuçları, bugün 14:15 itibariyle ÖSYM’nin https://sonuc.osym.gov.tr internet adresinden açıklandı. Adaylar, yerleştirme sonuçlarını belirtilen internet adresinden T.C. Kimlik Numaraları ve şifreleri ile öğrenebilecekler.

Harita mühendislerinin 2016/1 yerleştirme sonuçlarına göre min ve maks puanları.
ÖSYM tarafından açıklanan genel bilgilere göre (2016/1 yerleştirme sonuçlarına göre) tercih yapan 98 bin 689 önlisans adayından 3234‘ü, tercih yapan 111 bin 751 lisans adayından 5468‘i yerleşti.
2016/1 atama döneminde 48 harita mühendisi ve 153 harita teknikeri kadrosu açıklanmıştı. Bugün yerleştirme sonuçları belli oldu, buna göre en büyük ve en küçük puanlar da ÖSYM tarafından açıklandı.

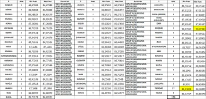
Harita teknikerlerinin 2016/1 yerleştirme sonuçlarına göre min ve maks puanları.
Maks ve min puan verilerine göre harita mühendisleri için en düşük puanlı alım 81,71567 ile Çevre Şehircilik Bakanlığında (Şırnak) gerçekleşti. En yüksek puanlı alım ise 88,96788 ile Vakıflar Genel Müdürlüğünde (Diyarbakır) oldu. Tüm yerleştirme max/min puanlarına buradan göz atabilirsiniz.
Maks ve min puan verilerine göre harita teknikerleri için en düşük puanlı alım 85,21851 ile Tapu ve Kadastro Genel Müdürlüğünde (Tekirdağ) gerçekleşti. En yüksek puanlı alım ise 90,37364 ile Devlet Su İşleri Genel Müdürlüğünde (Eskişehir) oldu. Tüm yerleştirme max/min puanlarına buradan göz atabilirsiniz.




